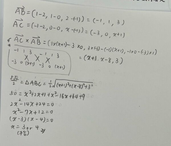
3. 空間中三點座標A(2, 0, −1),B(1, 1, 2),C(−1, 0, x),已知ΔA 面積是
,且x > 3,求x =?
(A) 4
(B) 5
(C) 6
(D) 7
答案:登入後查看
統計: A(320), B(313), C(213), D(0), E(0) #3247088
統計: A(320), B(313), C(213), D(0), E(0) #3247088
詳解 (共 9 筆)
#6209630
WTF
63
4
#6624148

17
0
#7356521

5
0
