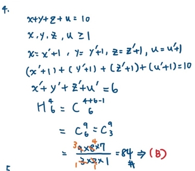
4. 王老師要將10套相同的故事書擺放到櫃子的4個格子,每個格子至少要擺放1套故事書,請問有幾種擺放的方式?
(A) 50
(B) 84
(C) 168
(D) 286
答案:登入後查看
統計: A(81), B(667), C(316), D(131), E(0) #3128131
統計: A(81), B(667), C(316), D(131), E(0) #3128131
詳解 (共 8 筆)
#5890692
54
1
#6045498
其實用列的也不會很久 ( ´▽`)
先將四個櫃子裡各放進一套
再排列剩下的六套

34
0