阿摩線上測驗
登入
首頁
>
專技 - 藥理學與藥物化學
>
103年 - 103-2 專技高考_藥師、藥師(一):藥理學與藥物化學#17143
> 試題詳解
試題詳解
試卷:
103年 - 103-2 專技高考_藥師、藥師(一):藥理學與藥物化學#17143 |
科目:
專技 - 藥理學與藥物化學
試卷資訊
試卷名稱:
103年 - 103-2 專技高考_藥師、藥師(一):藥理學與藥物化學#17143
年份:
103年
科目:
專技 - 藥理學與藥物化學
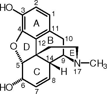
43.Morphine結構經由下列何種化學修飾,可得到類似tubocurarine的活性?
(A)O-3之sulfonation
(B)C-7與C-8間之saturation
(C)C-10之bromination
(D)N-17之methylation
正確答案:
登入後查看
詳解 (共 2 筆)
tigecycline
B4 · 2020/06/17
推薦的詳解#4072229
未解鎖
改 3-OH : 止痛減少改 6-OH ...
(共 221 字,隱藏中)
前往觀看
24
1
考過的快樂小狗
B6 · 2023/06/23
推薦的詳解#5855913
未解鎖
就算不會但生藥背過 帶有四級胺(水溶性)...
(共 69 字,隱藏中)
前往觀看
4
0
私人筆記 (共 2 筆)
疫情退散!!
2020/10/28
私人筆記#2604567
未解鎖
(D)N-17之methylation,...
(共 258 字,隱藏中)
前往觀看
10
2
王佳萱(已考上:)謝謝阿模前輩們的精華!
2023/03/13
私人筆記#4944658
未解鎖
(共 0 字,隱藏中)
前往觀看
3
1