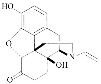
52.下列何者具有N-allyl基團,可作為morphine中毒之解毒劑?
(A)butorphanol
(B)naltrexone
(C)naloxone
(D)nalmefene
答案:登入後查看
統計: A(205), B(1789), C(5868), D(327), E(0) #2037514
統計: A(205), B(1789), C(5868), D(327), E(0) #2037514
詳解 (共 10 筆)
#3500437
C naloxone, N接allyl D naltrexone, N接三角形
53 Naloxone 的結構為何?
27
1
#4492950
naloxone 有allyl(丙烯基) naltrexone有cyclopropylmethyl (三角形的樣子)

13
0



