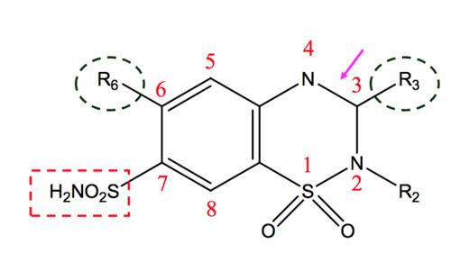
47.下列有關 thiazide 利尿劑基本結構(如下圖)之描述,何者錯誤?
(A)第 6 位取代基通常為拉電子基團
(B)如第 7 位導入 sulfonamide 基團,其基團之酸性為此結構最強者
(C)本類藥物結構通常具三個氮原子
(D)導入 3,4-dihydro 取代,可增強活性
答案:登入後查看
統計: A(295), B(2259), C(720), D(1054), E(0) #3199025
統計: A(295), B(2259), C(720), D(1054), E(0) #3199025
詳解 (共 7 筆)
#6107679
59.
是一種利尿劑,下列有關本結構的敘述何者錯誤?
是一種利尿劑,下列有關本結構的敘述何者錯誤?(A)結構中有二個pKa值,其中酸性較大的是第7位sulfonamide
(B)第6位置上以Cl取代,則活性增加
(C)將3,4位上的雙鍵飽和後可得活性較大的3,4-dihydro衍生物
(D)第3位置上以親脂性基團取代,則活性增加
17
0
#6575453
【選項解析】
(A)❌ 第 6 位通常接拉電子基(如 Cl、CF₃),有助於提高活性
(B)✅第 2 位環上的 N-H(介於兩個 SO₂ 的 imide 氫) 才是 thiazide 結構中 最酸的質子(pKₐ₁ ≈ 6.7)。
(C) ❌典型 thiazide 具 3 個氮原子(2 個在環上,1 個為 sulfonamide-N)
(D) ❌將 3,4 雙鍵還原成 3,4-dihydro(如 chlorothiazide → hydrochlorothiazide)可使利尿效力提升 10 倍以上
ㅤㅤ
【thiazide 類利尿劑 SAR(Structure–Activity Relationship) 筆記】

| 位置 | 典型取代基 | 對藥效的影響 |
|---|---|---|
| C-3 | 各種脂溶性側鏈(e.g. 異丙基、苯基) | 增加利尿強度、延長作用時間 |
| C-6 | 拉電子基(Cl、CF₃、Br、NO₂…) | 顯著提升抑制 Na⁺/Cl⁻ 共轉運子的活性 |
| C-7 | –SO₂NH₂(sulfonamide) | 與目標蛋白形成關鍵氫鍵,缺失或改動即失活 |
| C-5 / C-8 | 甲基(–CH₃) | 可改變脂溶性,但過大或多重取代會 降低利尿活性 |
| N-4 | 甲基(–CH₃) | 提升與血漿蛋白結合力,可 延長體內半衰期 |
| N-2 | 小烷基(H、–CH₃) | 只接受微小取代,否則空間阻礙會 減少活性 |
| S=O(S-1) | sulfonamide 可替換成 carbonyl | 對活性影響小,可做結構優化 |
4
1