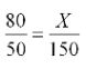
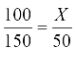
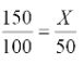
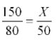
48. 執行程式 G91 G01 X50.0 Y100.0 Z150.0 F80 ; 刀具在 Z 方向移動 100mm時,X 方向移動量計算式為
(A) 
(B)
(C) 
(D)
。
答案:登入後查看
統計: 尚無統計資料
統計: 尚無統計資料