59. 如下圖,從邊長 1 公分的小正方形開始,以這個正方形的對角線為邊做第 2 個正方形,再 以第 2 個正方形的對角線為邊做第 3 個正方形,如此下去第 11 個正方形的面積是多少?
(A) 512
(B) 1024
(C) 2048
(D) 4096 5A05
答案:登入後查看
統計: A(26), B(354), C(93), D(35), E(0) #3241569
統計: A(26), B(354), C(93), D(35), E(0) #3241569
詳解 (共 6 筆)
#6193443
第1個正方形的邊長為 1 公分。
第2個正方形的邊長是第1個正方形的對角線長度。由於對角線長度為邊長的 √2 倍,因此第2個正方形的邊長是 √2 公分。
第3個正方形的邊長是第2個正方形的對角線長度,即 √2 倍的第2個正方形的邊長,所以是 √2^2 = √4=2 公分。
得出:每個正方形的邊長是前一個正方形邊長的 √2 倍。
ㅤㅤ
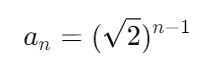
接著,令第一個正方形邊長為a1=1,得:
接著計算第十一個正方形a11,可得算式:

已知第十一個正方形的邊長為32,就能計算出面積為32×32=1024,答案B
6
0