阿摩線上測驗
登入
首頁
>
船用電機與自動控制(概要)
>
114年 - 114-1 航海人員測驗_二等管輪:船用電機與自動控制概要#125848
> 試題詳解
6. 下列四種規格的燈泡,其中阻值最小的是?
(A) 220V, 60W
(B) 110V, 60W
(C) 24V, 100W
(D) 24V, 60W
答案:
登入後查看
統計:
A(6), B(3), C(30), D(7), E(0) #3407936
詳解 (共 2 筆)
MoAI - 您的AI助手
B1 · 2025/09/23
#6775176
1. 題目解析 題目要求我們找出四種不同...
(共 1177 字,隱藏中)
前往觀看
2
0
liao
B2 · 2026/03/14
#7316372
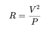
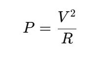
電功率公式
移項得
帶入數據
1
0
相關試題
1. 關於電感元件,下列敘述何者錯誤?(A) 電感是耗能元件(B) 電感是金屬線圈組成的元件(C) 電感中的電流不能瞬間改變(D) 電感在穩態電路中相當於短路
#3407931
2. 一放大器輸入1mV而產生1V輸出,此放大器電壓增益為何?(A) 10dB(B) 20dB(C) 40dB(D) 60dB
#3407932
3. 變壓器之額定容量是指何者?(A) 有效功率(B) 無效功率(C) 視在功率(D) 額定二次電壓
#3407933
4. 下列何種燈需要啟動器將燈點亮?(A) 白熾燈(B) 螢光燈(C) 水銀燈(D) LED燈
#3407934
5. 在位置檢出計中電位計型是將位置之變動,利用機械連至何種裝置?(A) 頻率計(B) 電位計(C) 電流計(D) 瓦特計
#3407935
7. 測定絕緣電阻的方法雖然有多種,一般多使用何種方法?(A) 三用電表(B) 數位電表(C) 示波器(D) 高阻計法
#3407937
8. 針對及閘(AND Gate)之敘述,下列何者正確?(A) A‧0=A(B) 0‧1=1(C)(D) A‧B=B‧A
#3407938
9. 以熱電勢作為溫度量測的感測器為下列何者?(A) 熱電耦(B) 熱敏電阻(C) 光學高溫儀(D) PT-100
#3407939
10. 下列哪一項裝置不是安裝於發電機控制盤?(A) 黏度計(B) 功率因數計(C) 斷路器(D) 頻率計
#3407940
11. 在運行過程中,若輸出量已不隨時間變化,系統的這種狀態就稱之為何?(A) 暫態(B) 穩態(C) 靜止狀態(D) 控制狀態
#3407941
相關試卷
115年 - 115年第一次航海人員測驗【602】二等管輪【000022】船用電機與自動控制概要#138328
2026 年 · #138328
115年 - 115-1 航海人員測驗 _ 一等管輪:船用電機與自動控制#137837
2026 年 · #137837
114年 - 114-4 航海人員測驗_二等管輪:船用電機與自動控制概要#133727
2025 年 · #133727
114年 - 114-4 航海人員測驗 _ 一等管輪:船用電機與自動控制#133524
2025 年 · #133524
114年 - 114-3 航海人員測驗_一等管輪:船用電機與自動控制概要#130590
2025 年 · #130590
114年 - 114-3 航海人員測驗_二等管輪:船用電機與自動控制概要#130417
2025 年 · #130417
114年 - 114 海岸巡防特種考試_三等_海洋巡護科輪機組:船用電機與自動控制#129555
2025 年 · #129555
114年 - [無官方正解]114-2 航海人員測驗_二等管輪:船用電機與自動控制概要#128256
2025 年 · #128256
114年 - 114-2 航海人員測驗_一等管輪:船用電機與自動控制#127546
2025 年 · #127546
114年 - 114-1 航海人員測驗_二等管輪:船用電機與自動控制概要#125848
2025 年 · #125848