阿摩線上測驗
登入
首頁
>
捷運◆電子學
>
104年 - 104 臺北捷運:基本電子學#70355
> 試題詳解
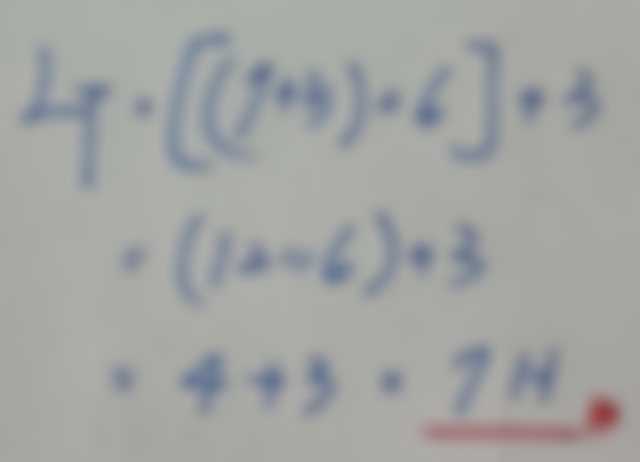
6. 下圖所示電路,求等效電感之值?
(A)7H
(B)8H
(C)9H
(D)10H。
答案:
登入後查看
統計:
A(300), B(6), C(14), D(9), E(0) #1836430
詳解 (共 1 筆)
項弦予
B1 · 2020/06/20
#4079815
(共 1 字,隱藏中)
前往觀看
1
0
私人筆記 (共 2 筆)
【給你考運】勞贖
2023/02/11
私人筆記#4880488
未解鎖
個人答案試寫(僅供參考)
(共 12 字,隱藏中)
前往觀看
6
0
Po-tso Lin
2019/10/05
私人筆記#1746750
未解鎖
電阻並聯方式計算(7H+5H)//6H ...
(共 47 字,隱藏中)
前往觀看
0
0
相關試題
1. 下圖所示電阻,其電阻值範圍為何? (A)216Ω~324Ω (B)2160Ω~3240Ω (C)21600Ω~32400Ω (D)216000Ω~324000Ω。
#1836425
2. 下圖所示電阻之電阻值為 6.1MΩ±10%,其色碼由左至右為何? (A)紫紅藍金 (B)紫紅藍銀 (C)藍棕綠金 (D)藍棕綠銀。
#1836426
3. 其電容值範圍為何? (A)5.4μF~6.6μF (B)5.7μF~6.3μF (C)5.4pF~6.6pF (D)5.7pF~6.3pF。
#1836427
4. 承上題,腳位 1 與 2 分別為 (A)正極、負極 (B)負極、正極 (C)正極、正極 (D)負極、負極。
#1836428
5. 下圖所示電感,其以何方式儲存能量? (A)電壓 (B)電流 (C)電場 (D)磁場。
#1836429
7. 有一 6 亨利電感,流入此電感之電流 i 如下圖所示,當 t=2 秒, 跨於此電感上之電壓為何? (A)6 伏特 (B)9 伏特 (C)-13.5 伏特 (D)- 18 伏特。
#1836431
8. 接續第 7 題,當 t=5 秒,跨於此電感上之電壓為何? (A)13.5 伏特 (B)0 伏特 (C)31.5 伏特 (D) 45 伏特。
#1836432
9. 接續第 7 題,當 t=7 秒,跨於此電感上之電壓為何? (A)-18 伏特 (B)-27 伏特 (C)27 伏特 (D)18 伏特。
#1836433
10. 電阻 R1的值為多少歐姆?(A)5(B)10(C)15(D)20
#1836434
11. 承上題,電阻 R2+R3的值為多少歐姆? (A)3 (B)3.5 (C)4 (D)4.5。
#1836435
相關試卷
108年 - 10801 臺北捷運:電子學#79360
2019 年 · #79360
107年 - 10704 臺北捷運:電子學#79398
2018 年 · #79398
105年 - 10511 臺北捷運:電子學#79418
2016 年 · #79418
104年 - 104 臺北捷運:基本電子學#70355
2015 年 · #70355
103年 - 103 臺北捷運:基本電子學#79671
2014 年 · #79671
103年 - 10305 桃園捷運:電子學#59465
2014 年 · #59465