68.對於代謝速率(V)遵循Michaelis-Menten equation的藥物,若C為藥物濃度,KM為藥物與代謝酵素 的親合常數,Vmax為最大代謝速率。以作圖法(1/V為Y軸,1/C為X軸)預測KM或Vmax,下圖X軸 的截距為何?
(A)1/Vmax
(B)-1/Vmax
(C)1/KM
(D)-1/KM
答案:登入後查看
統計: A(531), B(401), C(667), D(4533), E(0) #1150907
統計: A(531), B(401), C(667), D(4533), E(0) #1150907
詳解 (共 7 筆)
#1548825
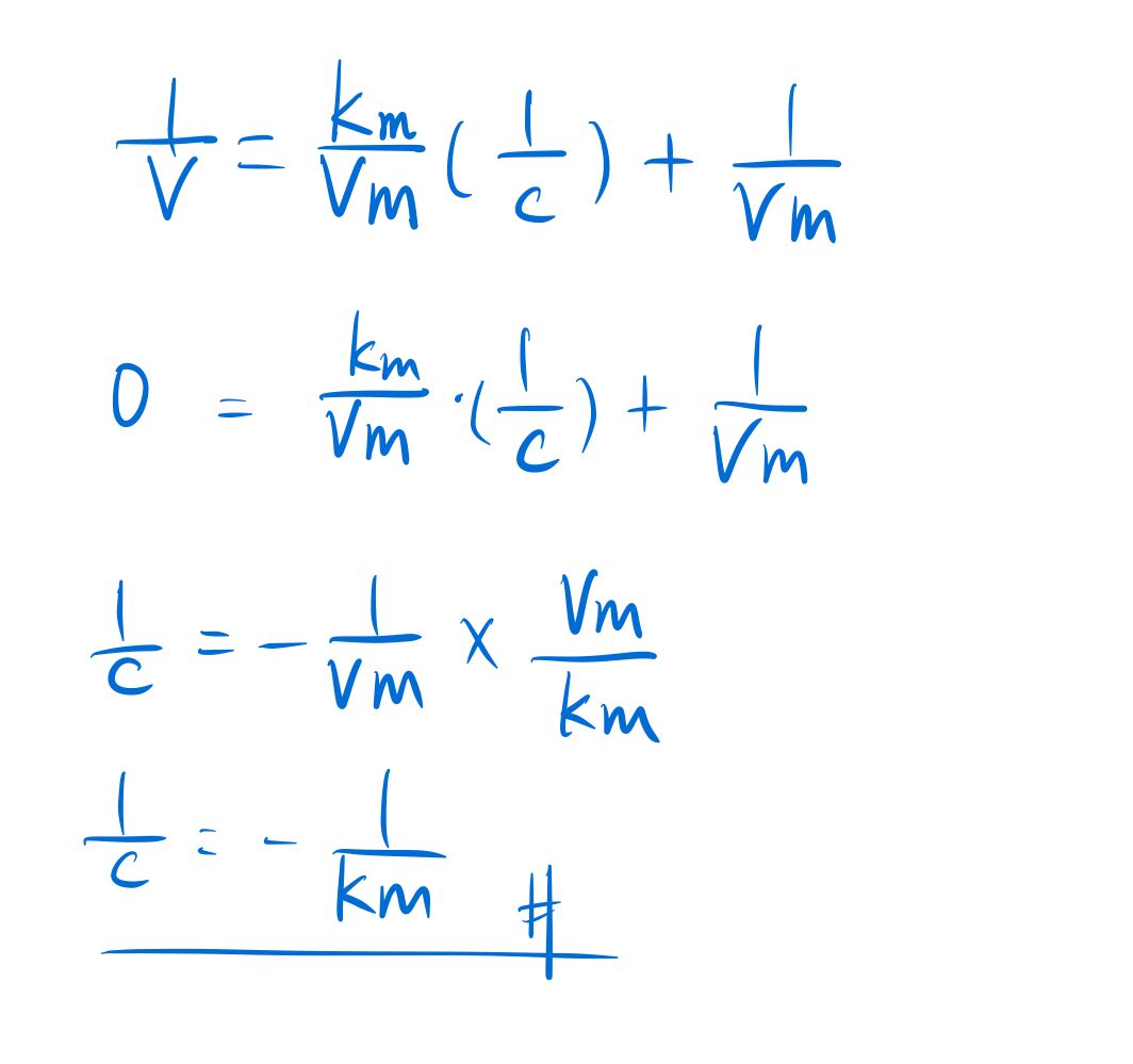
Michaelis-Menten equation:
v=(Vmax*C) / (KM+C) 可改寫成 1/v=(KM/Vmax)*(1/C)+1/Vmax
可推得1/C=-1/KM
68
1
#1259782
小心-號!
40
1
#4161939
Km和C單位相同
Vmax和V單位相同
再用正負號判別
14
0
#4601224
Km本身是濃度的一種,所以V是Vmax, C是Km。
X的截距的地方: Y=0,在負數的地方。
所以不可能是Vmax (因為在0的地方),也不可能是正號,所以答案是 (D)-1/Km
12
0
#6488906

2
0
#6157759
Y軸 的截距
X軸 的截距
斜率
都有正負號的問題 注意!
1
0
#6044782
這題是雙倒數圖,可以應用Lineweaver Burk的公式
X截距=-1/KM
Y截距=1/Vmax
m=KM/Vmax
0
1