阿摩線上測驗
登入
首頁
>
專技 - 藥劑學(包括生物藥劑學)
>
93年 - 93-1 專技高考_藥師:藥劑學(包括生物藥劑學)#10732
> 試題詳解
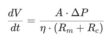
7 製劑製程中,液體過濾之步驟,過濾速率與濾器等的關係,下列敘述何者正確?
(A) 液體黏度愈高速率愈大
(B) 濾器面積愈大速率愈小
(C) 濾器壓降愈大速率愈大
(D) 濾器阻力愈大速率愈大
答案:
登入後查看
統計:
A(3), B(94), C(560), D(15), E(0) #443392
詳解 (共 3 筆)
Newfie
B1 · 2018/01/08
#2564086
(A)液體黏度愈高速率愈大 (B)濾器面...
(共 71 字,隱藏中)
前往觀看
12
0
菜餅
B2 · 2023/04/09
#5771534
小蘭藥劑
6
0
Kita Ikuyo
B3 · 2026/04/06
#7333761
0
0
相關試題
8 以毛細管黏度計測定檢品黏度時,所測得之黏度與下列何者成反比? (A) 重力 (B) 檢品密度 (C) 毛細管長度 (D) 檢品流過之時間
#443393
9 液體流過毛細管時,在管中之流速分佈是: (A) 管壁≅0,管中間最大 (B) 管壁及管中間相等 (C) 管壁最大,管中間≅0 (D) 無法判定流速分佈
#443394
10 一般導致腸胃炎的毒素,可用陶土類吸附劑治療,其主要作用機制為: (A) 毒素經由陶土物理吸附 (B) 毒素在腸道帶負電荷與陶土產生化學吸附 (C) 毒素在胃中帶正電荷與陶土經陽離子交換而吸附 (D) 毒素在腸道可與陶土產生共價鍵結合
#443395
11 醇類加入水中可降低水之表面張力,在 20℃降低水之表面張力至 50 dyne/cm,所需丙醇及丁醇之莫耳濃度分別是 0.6 及 0.18。請問需己醇多少莫耳濃度才能降低水之表面張力至 50 dyne/cm? (A) 2.0 (B) 1.0 (C) 0.06 (D) 0.02
#443396
12 右圖中何者具有 Thixotropy 性質之流體? (A) 甲 (B) 乙 (C) 丙 (D) 丁
#443397
13 下列有關水溶液中之假塑性流體(pseudoplasticity)的敘述,何者正確? (A) 是為小分子的真溶液 (B) 是為厭水性分子的分散系統 (C) 是為長鏈聚合物分子與水纏繞的系統 (D) 是為糊劑的分散系統
#443398
14 下面苯之衍生物( ),何者具有最佳之界面活性? (A) (B) (C) (D)
#443399
15 0.3% Sodium Dodecyl Sulfate 在水中形成之微胞體,其結構之特性是: (A) 硫酸根向外 (B) 烷基向外 (C) 微胞體含 350 個分子 (D) 微胞體分子量約為 100,000
#443400
16 藥物分析時,經由沉澱得到之硫酸鋇需再於熱水消解一段時間,其目的是: (A) 製得膠體之製劑 (B) 確定化學反應完全 (C) 消除微生物干擾 (D) 方便過濾
#443401
17 下列何者可用於體內,作為血漿之滲壓劑? (A) Starch (B) Cellulose Acetate Phthalate (C) Dextran (D) Hydroxypropyl Methylcellulose
#443402
相關試卷
115年 - 115-1 專技高考_藥師(一):藥學(三)(包括藥劑學與生物藥劑學)#137354
2026 年 · #137354
114年 - 114-2 專技高考_藥師(一):藥學(三)(包括藥劑學與生物藥劑學)#128925
2025 年 · #128925
114年 - 114-1 專技高考_藥師(一):藥學(三)(包括藥劑學與生物藥劑學)#125120
2025 年 · #125120
113年 - 113-2 專技高考_藥師(一):藥劑學與生物藥劑學#121688
2024 年 · #121688
113年 - 113-1 專技高考_藥師(一):藥劑學與生物藥劑學#118720
2024 年 · #118720
112年 - 112-2 專技高考_藥師(一):藥劑學與生物藥劑學#115916
2023 年 · #115916
112年 - 112-1 專技高考_藥師(一):藥劑學與生物藥劑學#113163
2023 年 · #113163
111年 - 111-2 專技高考_藥師(一):藥劑學與生物藥劑學#109900
2022 年 · #109900
111年 - 111-1 專技高考_藥師(一):藥劑學與生物藥劑學#106169
2022 年 · #106169
110年 - 110-2 專技高考_藥師(一):藥劑學與生物藥劑學#100434
2021 年 · #100434