阿摩線上測驗
登入
首頁
>
台電◆物理
>
104年 - 104 台灣電力公司_新進僱用人員甄試:物理#27180
> 試題詳解
試題詳解
試卷:
104年 - 104 台灣電力公司_新進僱用人員甄試:物理#27180 |
科目:
台電◆物理
試卷資訊
試卷名稱:
104年 - 104 台灣電力公司_新進僱用人員甄試:物理#27180
年份:
104年
科目:
台電◆物理
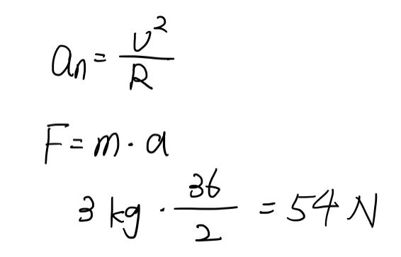
7.欲使3 kg的物體以6 m/s之速率作半徑為2 m之等速率圓周運動,則需向心力多少牛頓?
(A)36
(B) 54
(C) 48
(D) 64
正確答案:
登入後查看
詳解 (共 1 筆)
申佳偉
B1 · 2017/06/07
推薦的詳解#2251497
未解鎖
等速率圓周運動向心力公式:F=MV^2/...
(共 36 字,隱藏中)
前往觀看
21
0
私人筆記 (共 1 筆)
Terry Tung
2023/02/24
私人筆記#4905182
未解鎖
(共 0 字,隱藏中)
前往觀看
3
0