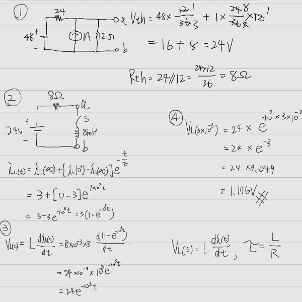
7. 依右圖所示電路,當 S 閉合後,經 t = 3 × 10−3 秒後,電感器的端電壓uL為何?
(A) 1.2 V
(B) 2.4 V
(C)2.8 V
(D) 3.6 V
答案:登入後查看
統計: A(145), B(32), C(22), D(9), E(0) #2499920
統計: A(145), B(32), C(22), D(9), E(0) #2499920
