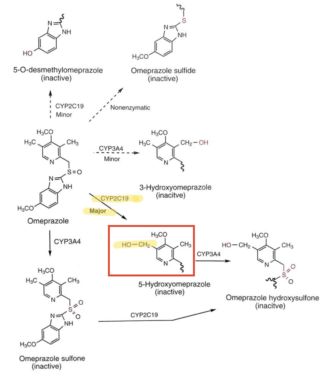
70.下列何者為omeprazole(結構如下圖)的最主要代謝物?
(A)
(B)
(C)
(D)
答案:登入後查看
統計: A(498), B(1286), C(1821), D(2002), E(0) #3065315
統計: A(498), B(1286), C(1821), D(2002), E(0) #3065315
詳解 (共 10 筆)
#6114467

50
0
#5722506
通靈想法
考試時知道是PPI為prodrug,且S=O為活性必須結構,所以主要代謝應該不會從這邊下手,刪A、B
再來C、D選一個至少有50%機會,雖然我還是選錯了ㄏㄏ
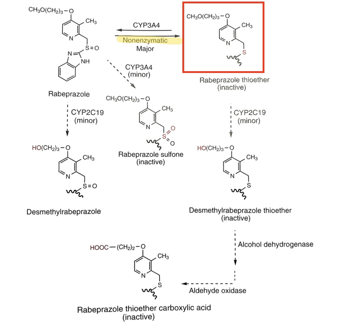
71.下列何者為lansoprazole(結構如下圖)的最主要代謝物?
(A) 

(B) 

(C) 

(D)
33
3
#6166655
PPI 主要代謝物整理
Omeprazole

Lansoprazole

Pantoprazole

Rabeprazole

10
0