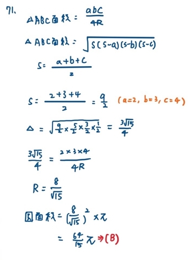
71. 已知某三角形其三邊長分別為 2、3、4,則此三角形外接圓面積為?
(A) 4π
(B)
π
(C)
π
(D)
π
答案:登入後查看
統計: A(170), B(382), C(268), D(49), E(0) #3124415
統計: A(170), B(382), C(268), D(49), E(0) #3124415
詳解 (共 6 筆)
#5869405
31
0
#5869765
Point:
![]()

解題
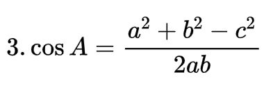
Step 1:利用餘弦定理求出cosA

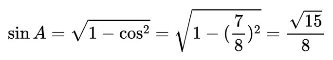
Step 2:利用cos A反求sin A

Step 3:利用正弦定理求出R

Step 4:求出圓面積

6
1
#7363731

0
0