62. 王老師將 9 位同學分成三組,每組人數為 5 人、2 人、2 人(組間未排序);並且,王老師希望把小明和小華兩人分配
在同一組。有幾種分組的方法?
(A) 126
(B) 148
(C) 152
(D) 231
答案:登入後查看
統計: A(265), B(170), C(174), D(243), E(0) #3124406
統計: A(265), B(170), C(174), D(243), E(0) #3124406
詳解 (共 5 筆)
#5869392
30
0
#5869282
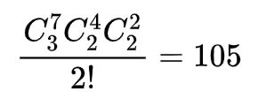
Point:解題策略參考 分堆(堆數相同,視為同物 ➡ 因此須除以相同堆數的階層)
https://www.youtube.com/watch?v=l6BzR-TQWWs&ab_channel=CMmath
解題:
Step 1:甲乙兩人在5人組的分法(5人組再取3人,剩下4人分入2組2人組)

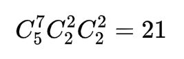
Step 2:甲乙兩人在2人組的分法(扣除甲乙,從7人中取5人一組,甲乙一組,剩下兩人一組)
Point:因甲乙兩人指定同組,所以此時2組2人組不為同物,不需除以相同堆數的階層。

Step 3:105+21=126種
28
0