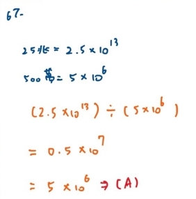
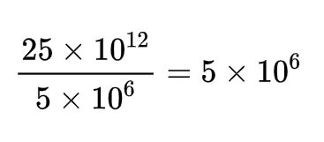
67. 請問 25 兆是 500 萬的幾倍?
(A) 5×106
(B) 5×105
(C) 5×104
(D) 5×103
答案:登入後查看
統計: A(697), B(180), C(29), D(14), E(0) #3124411
統計: A(697), B(180), C(29), D(14), E(0) #3124411
詳解 (共 6 筆)
#6004882

13
1
#5869399
6
0
#5869684
3
0