阿摩線上測驗
登入
首頁
>
教甄◆數學
>
112年 - 112 臺南市市立國民小學教師(含代理教師)聯合甄選試題_ 基礎科目:數學#115110
> 試題詳解
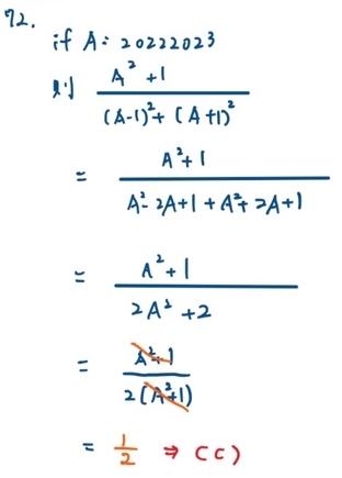
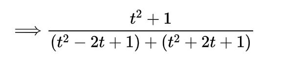
72. 計算
的值為?
(A)1
(B)
(C)
(D)
答案:
登入後查看
統計:
A(48), B(79), C(660), D(60), E(0) #3124416
詳解 (共 4 筆)
Chen Chen
B1 · 2023/07/04
#5869407
25
0
Elmo
B3 · 2023/07/06
#5872010
令X=20222023
(共 13 字,隱藏中)
前往觀看
18
0
Leona Sung
B2 · 2023/07/05
#5870357
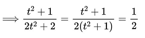
令20222023=t,整理式子得
7
0
Ying
B4 · 2024/01/11
#6006928
6
0
相關試題
61. 如下圖,∆ABC 中,點 E 在上,使得= 1 且= 2。點 D 在上,使得̅;點 F 在上,使得。 則四邊形 CDEF 的面積與∆ABC 面積的比值為何? (A) (B) (C) (D)
#3124405
62. 王老師將 9 位同學分成三組,每組人數為 5 人、2 人、2 人(組間未排序);並且,王老師希望把小明和小華兩人分配 在同一組。有幾種分組的方法? (A) 126 (B) 148 (C) 152 (D) 231
#3124406
63. A 是一個五位數,其中前四個數碼依序為 2、0、1、8。也就是說,A=2018□。已知 A 是 9 的倍數,則 A÷8 的餘數為 何? (A) 1 (B) 3 (C) 5 (D) 7
#3124407
64. 世界各國都會在火車站的屋頂上裝置一座大鐘。站長為了提醒來自遠方的遊客,不要錯過回家的班次,因此,決定在 時鐘鐘面(圓周)上的「每一小格(整分鐘)都裝上一盞燈,方便還在遙遠地方的遊子,能順利搭上回家的班次。現 在是晚上 9 點 35 分 20 秒,此時,時針和分針的夾角為?,且 0°<θ<180°,請問兩針所夾區域裡有多少盞燈? (A) 10 (B) 12 (C) 15 (D) 17
#3124408
65. 試比較甲、乙、丙、丁四數的大小: (A)丙 > 丁 > 甲 > 乙 (B)丙 > 甲 > 丁 > 乙 (C)丙 > 乙 > 丁 > 甲 (D)甲 > 丁 > 乙 > 丙
#3124409
66. 某份測驗共有 100 題,每題答對得 2 分,答錯則倒扣 1 分,未作答則不得分也不扣分。強強有 20%的題目未作答,且 作答的題目中答對佔了 75%,請問強強這個測驗得到多少分? (A) 160 (B) 120 (C) 100 (D) 60
#3124410
67. 請問 25 兆是 500 萬的幾倍? (A) 5×106 (B) 5×105 (C) 5×104 (D) 5×103
#3124411
68. 甲、乙兩部 3D 列印機器可製作同款的鑰匙圈。一批成品,甲機器能夠在 20 天獨立完成;如果甲機器與乙機器共同運 作,則需要 12 天才能完成。假設乙機器獨立完成需要 K 天。下列何者正確? (A)K≤20 (B)20<K≤25 (C)25<K≤30 (D)K>30
#3124412
69. 露營區中的三個營隊分別駐紮在不共線的 A、B、C 三處,想要在離各營隊駐紮處相同距離之處辦理營火晚會。在理 想狀況下,營火晚會的地點會在∆ABC 的哪個位置? (A)垂心 (B)重心 (C)內心 (D)外心
#3124413
70.下圖為安安國中三年級數學段考成績分配盒狀圖。已知四分位距 Q=Q3 − Q1,請問四分位距Q為多少? (A) 25 分 (B) 60 分 (C) 75 分 (D) 85 分
#3124414
相關試卷
115年 - 115-1 臺北市立大安高工教師甄選試題:數學科#138455
2026 年 · #138455
115年 - 115-1 國立臺灣師範大學附屬高級中學_專任教師甄選試題:數學科#138411
2026 年 · #138411
115年 - 115-1 國立臺灣師範大學附屬高級中學_專任教師甄選試題:數學科#138410
2026 年 · #138410
115年 - 115-1 國立臺灣師範大學附屬高級中學_專任教師甄選試題:數學科#138409
2026 年 · #138409
115年 - 115-1 臺北市立麗山高級中學_正式教師甄選試題:數學科#138397
2026 年 · #138397
115年 - 115-1 國立臺南一中_教師甄選初試試題:數學#138376
2026 年 · #138376
115年 - 115 國立嘉科實驗高級中學_國小部普通班教師甄選試題:數學#138356
2026 年 · #138356
115年 - 115-1 國立中央大學附屬中壢高級中學教師甄選試題:數學科#138235
2026 年 · #138235
115年 - 115 高雄中學正式教師甄選試題:數學科#138213
2026 年 · #138213
115年 - 115-1 國立中興大學附屬高級中學_正式教師甄試試題:數學科#138079
2026 年 · #138079