阿摩線上測驗 登入

試題詳解

試卷:112年 - 112 臺南市市立國民小學教師(含代理教師)聯合甄選試題_ 基礎科目:數學#115110 | 科目:教甄◆數學

試卷資訊

試卷名稱:112年 - 112 臺南市市立國民小學教師(含代理教師)聯合甄選試題_ 基礎科目:數學#115110

年份:112年

科目:教甄◆數學

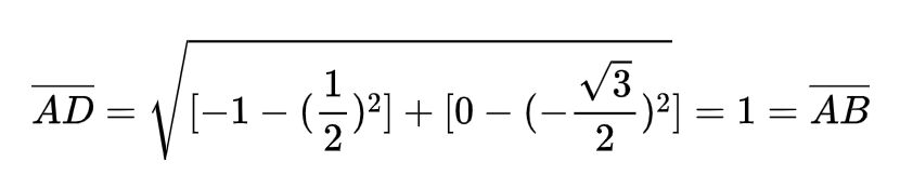
74. 已知座標平面有六個點(−1,0), (0,0), (1,0),,則選取一些點當頂點,無法形成何種圖形?
(A)正三角形
(B)直角三角形
(C)正方形
(D)等腰梯形

正確答案:登入後查看

詳解 (共 1 筆)

推薦的詳解#5872097
未解鎖
先估算出等數值 ≅1.732 ...






(共 60 字,隱藏中)
前往觀看
17
1