68. 甲、乙兩部 3D 列印機器可製作同款的鑰匙圈。一批成品,甲機器能夠在 20 天獨立完成;如果甲機器與乙機器共同運
作,則需要 12 天才能完成。假設乙機器獨立完成需要 K 天。下列何者正確?
(A)K≤20
(B)20<K≤25
(C)25<K≤30
(D)K>30
答案:登入後查看
統計: A(101), B(135), C(623), D(67), E(0) #3124412
統計: A(101), B(135), C(623), D(67), E(0) #3124412
詳解 (共 5 筆)
#5869400
34
0
#5869693
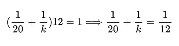
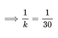
甲一天完成1/20,乙一天完成1/k,得:

得k=30
8
0