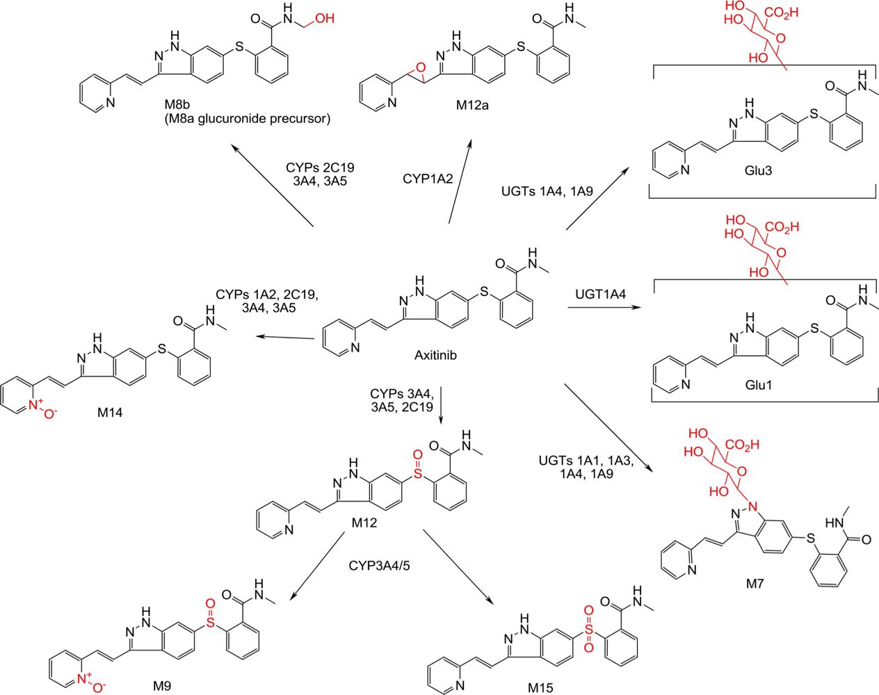
75.下列何者為 axitinib(結構如下圖)之主要代謝反應?
(A)N-demethylation
(B)N-oxidation
(C)aromatic hydroxylation
(D)sulfoxidation
答案:登入後查看
統計: A(2015), B(516), C(822), D(1621), E(0) #2866813
統計: A(2015), B(516), C(822), D(1621), E(0) #2866813
詳解 (共 8 筆)
#5788998
| EGFR inhibitor | Cetuximab, Lapatinib, Panitumumab, Erlotinib, Gefitinib (自創18X口訣 : 吸 L P 蛋蛋(egg)) |
| VEGFR inhibitor | Sorafenib, Bevacizumab, Sunitinib, Pazopanib (傻逼傻逼) |
2.下列抗癌藥物何者會進入細胞內,抑制EGFR tyrosine kinase的活性?
(A) trastuzumab
(B) erlotinib
(C) dasatinib
(D) imatinib
ㅤㅤ
答案:B
專技 - 藥理學與藥物化學-106年 - 106-1 專技高考_藥師、藥師(一):藥理學與藥物化學#60024
39.下列何者是治療轉移型結腸大腸癌的血管內皮生長因子(VEGF)單株抗體?
(A) Alemtuzumab
(B) Gemtuzumab
(C) Cetuximab
(D) Bevacizumab
ㅤㅤ
答案:D
30
0
#6264059
這題一樣出題老師在搞
AB我知道不可能,N沒接sp³的C,不能去烷基
N平常也無法氧化,只能NO2還原成NH2
C的對位苯環明明就可以+OH
結果答案是D
我真的是,真的上考場時藥化不會的就猜D放推了
9
0
#6509467

4
0