阿摩線上測驗
登入
首頁
>
教甄◆數學
>
114年 - 114-1 國立臺南女子高級中學_教師甄選初試題目:數學科#125995
> 申論題
題組內容
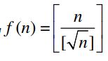
2. 對於正整數 n,函數 f (n)定義為
,其中符號[ ]為高斯符號。
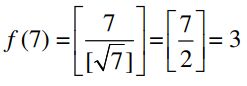
例如:
。
(1) 若正整數 n 滿足 f (n) = 5,求 n 的最大值與最小值。
相關申論題
1. 試求=________。
#535140
2. 設函數f(x) =x3+ax2+bx+c,(x ∈ R),其中 a,b,c 為互不相同的非零整數,且f(a) =a3 ,f(b) = b3,則 a+b +c 為何?
#535141
3. 設三次函數 ,求的值。
#535142
4. 在空間中有一四邊形,已知= 2,= 3, = 4, = 5,試求=?
#535143
5. 已知對所有的實數 ,二次函數 y=bx+c+≥ 0,且 a<b ,則的最小值為何?
#535144
6. 設∆ABC 是單位圓 Γ的一個內接正三角形。 若 P 點為圓 Γ上一動點,求 P 點分別到 A、B、C 三點的 三個連線段的平方和之最大值及最小值之和為________。
#535145
7. 已知數列 (對任意正整數n 都成立)且 a1 = 2,求滿足不等式 的最小自然數 n = ______。 (已知 log 2≈0.3010)
#535146
8. 正四面體 ABCD 中,設點 P 為邊的中點,點 Q 在邊上移動。求 cos ∠PDQ 的最大值為______。
#535147
9. 有一副紙牌共有 50 張,其中有三張 A,隨機地洗牌,然後從最上面開始一張接一張地攤牌,直到翻 出第二張 A 出現為止,試求:翻過的牌數的期望值。
#535148
10. 若實數 x > 1滿足 log2(log4x ) log4 (log2 x),則 (log4 x)+ log4(log2 x) 的值為何?
#535149
相關試卷
115年 - 115-1 國立嘉科實驗高級中學_教師甄選試題_高中部:數學科#138615
115年 · #138615
115年 - 115-1 臺北市立大同高級中學_教師甄選初選試題:高中數學科#138591
115年 · #138591
115年 - 115-1 臺北市立大安高工教師甄選試題:數學科#138455
115年 · #138455
115年 - 115-1 國立臺灣師範大學附屬高級中學_專任教師甄選試題:數學科#138411
115年 · #138411
115年 - 115-1 國立臺灣師範大學附屬高級中學_專任教師甄選試題:數學科#138410
115年 · #138410
115年 - 115-1 國立臺灣師範大學附屬高級中學_專任教師甄選試題:數學科#138409
115年 · #138409
115年 - 115-1 臺北市立麗山高級中學_正式教師甄選試題:數學科#138397
115年 · #138397
115年 - 115-1 國立臺南一中_教師甄選初試試題:數學#138376
115年 · #138376
115年 - 115 國立嘉科實驗高級中學_國小部普通班教師甄選試題:數學#138356
115年 · #138356
115年 - 115-1 國立中央大學附屬中壢高級中學教師甄選試題:數學科#138235
115年 · #138235