所屬科目:教甄◆數學
1. 試求=________。
2. 設函數f(x) =x3+ax2+bx+c,(x ∈ R),其中 a,b,c 為互不相同的非零整數,且f(a) =a3 ,f(b) = b3,則 a+b +c 為何?
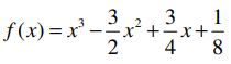
3. 設三次函數 ,求的值。
4. 在空間中有一四邊形,已知= 2,= 3, = 4, = 5,試求=?
5. 已知對所有的實數 ,二次函數 y=bx+c+≥ 0,且 a<b ,則的最小值為何?
6. 設∆ABC 是單位圓 Γ的一個內接正三角形。 若 P 點為圓 Γ上一動點,求 P 點分別到 A、B、C 三點的 三個連線段的平方和之最大值及最小值之和為________。
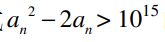
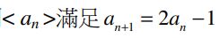
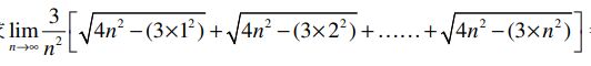
7. 已知數列 (對任意正整數n 都成立)且 a1 = 2,求滿足不等式 的最小自然數 n = ______。 (已知 log 2≈0.3010)
8. 正四面體 ABCD 中,設點 P 為邊的中點,點 Q 在邊上移動。求 cos ∠PDQ 的最大值為______。
9. 有一副紙牌共有 50 張,其中有三張 A,隨機地洗牌,然後從最上面開始一張接一張地攤牌,直到翻 出第二張 A 出現為止,試求:翻過的牌數的期望值。
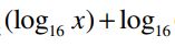
10. 若實數 x > 1滿足 log2(log4x ) log4 (log2 x),則 (log4 x)+ log4(log2 x) 的值為何?
11. 有一個四列四行的表格如下圖,在 16 個空格中分別任意填入1, 2, ,15,16 ⋯ 這 16 個連續正整數(不得重複),每個空格恰填入一個數,則每行、每列所填的數之和都是偶數的機率為何?
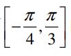
12. 設實數k > 0,已知函數 y =f(x)=√3 sin(kx)+cos(kx)+cos(kx)在區間 的圖形恰有一個最高點,也恰有 一個最低點,求k 的範圍。
(1) 試求 。
(2) 設 x, y 均為非負實數且滿足 x + y = 1。若 ,求 r, s。(以 x, a, b 表示)
(3) 承(2),設 ,試證:若(a, b) ≠ (0, 0),則均為收斂數列。
(1) 若正整數 n 滿足 f (n) = 5,求 n 的最大值與最小值。
(2) 在所有滿足 n ≤ 2025 的正整數 n 中,求使得 f (n) > f (n + 1) 的 n 共有幾個? (5 分)
3. 試證明:對任意的實數 a,b,c,都有 ,並說 明等號成立的充要條件。
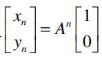
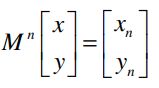
4. 設二階實係數方陣滿足行列式det(A)=1 ,O 是坐標平面的原點,對於所有的正整數n,平面上的點滿足 。若,試證明對於所有的正整數n, 。