題組內容
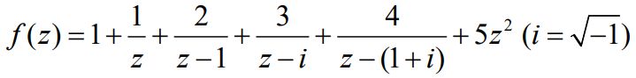
五、考慮一個複變函數:
在本題目中,我們探討 f ( z ) 在一些封閉曲線上作線積分(line integral) 的問題。假設線積分的方向為正向環繞(in positive orientation,也就是 逆時鐘旋轉)。
(一)假設
(亦即在複變平面上以原點為中心,以
為半徑作出的
5 5
圓)。試求出,
=?
五、考慮一個複變函數:
在本題目中,我們探討 f ( z ) 在一些封閉曲線上作線積分(line integral) 的問題。假設線積分的方向為正向環繞(in positive orientation,也就是 逆時鐘旋轉)。
(一)假設
(亦即在複變平面上以原點為中心,以
為半徑作出的
5 5
圓)。試求出,
=?