題組內容
二、請依加值型及非加值型營業稅法及相關規定,回答下列問題:
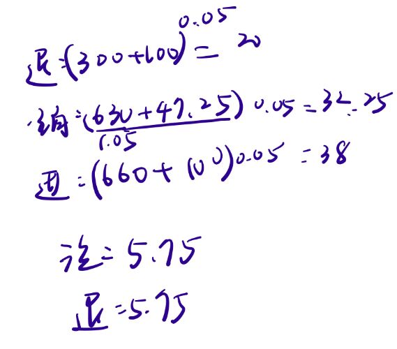
(三)甲公司 113 年 7、8 月外銷電腦產品銷售額 3,000,000 元,內銷電腦產 品銷售額 6,300,000 元(含稅) ,另將自行生產之電腦(定價 472,500 元,成本 300,000 元)贈與經合法立案之公益、慈善團體。甲公司相 關成本及費用如下:進貨成本 6,600,000 元(不含稅) ,辦理員工伙食之主副食品 300,000 元,稅額 15,000 元;另購置固定資產 1,000,000 元(不含稅) ,均有取得合法憑證,請根據上述資料,計算甲公司之本期銷項稅額、得扣抵進項稅額、本期應繳(應退)稅額。 (請詳列計算 式,否則不予計分) (13 分)
詳解 (共 1 筆)
Weeeeee
詳解 #6989408
