題組內容
三、某公司正在評估購買下列三種消防車設備,相關資料如下,相關預算之年利率為 10%,如果以等值法(annual worth, AW method)計算:

附註:

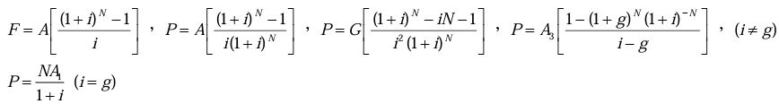
(i=10%各因子之數據表

(三)若三種機台選擇互斥,不做機台的選擇也是其中的選項,請問那個消防車是最佳的選擇,需要計算出正確 B/C ratio。
三、某公司正在評估購買下列三種消防車設備,相關資料如下,相關預算之年利率為 10%,如果以等值法(annual worth, AW method)計算:

附註:

(i=10%各因子之數據表

(三)若三種機台選擇互斥,不做機台的選擇也是其中的選項,請問那個消防車是最佳的選擇,需要計算出正確 B/C ratio。