題組內容
四、考慮以下液相平行反應:
(期望產物),
, k1 = 0.4 L /(mol . min)
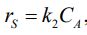
(副產物),
, k2 = 
進料只含 A,濃度
= 2 mol / L 。
(二)為了得到最高的 R 產率,應選用高濃度或低濃度的 A 進行反應?應選 用連續攪拌槽反應器(continuous stirred tank reactor, CSTR)或塞流反 應器(plug flow reactor, PFR)?請說明理由。
四、考慮以下液相平行反應:
(期望產物),
, k1 = 0.4 L /(mol . min)
(副產物),
, k2 = 
進料只含 A,濃度
= 2 mol / L 。
(二)為了得到最高的 R 產率,應選用高濃度或低濃度的 A 進行反應?應選 用連續攪拌槽反應器(continuous stirred tank reactor, CSTR)或塞流反 應器(plug flow reactor, PFR)?請說明理由。