阿摩線上測驗
登入
首頁
>
原子物理
>
111年 - 111 高等考試_三級_核子工程:原子物理#109660
> 申論題
題組內容
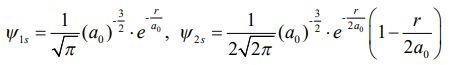
三、氫原子 1s 和 2s 軌域的波函數分別為:
(二)由波函數計算 1s 和 2s 軌域在 r = 0 附近電荷密度的比值,
=?
相關申論題
(一)完成以下反應式:3H → 3He +?(3H 及 3He 只包含原子核,而非中性原子)
#470094
(二) 3H 和 3He 的束縛能(原子核分解成質子和中子所需能量)分別為: = 8.482 MeV; = 7.718 MeV。計算(一)反應式中釋放出來的 熱能(動能) 。質子、中子和電子質量分別為 = 938.272、 = 939.565 和 = 0.511(單位:MeV/c2),反微中子 ( ) 無質量。
#470095
(三)假設 3H 和 3He 中的三顆核子(質子和中子通稱為核子)可視為三顆小球。3H 和 3He 中的三顆核子具有相同的強作用力,造成兩者束縛能不同的原因在於 3He 中的兩個質子具有庫倫排斥力。估計 3He 中的兩 個質子的距離。
#470096
(一) 0.119 g 的 ,單位時間的衰變量為何?用貝克 Bq 為單位, 1 Bq = 1 decay/sec; 1 mole = 6 × 。
#470097
(二) 20 億年前(2 × 109 years) ,的同位素比例為何?(此題的比例為莫耳數比而非質量比)
#470098
(一)證明 滿足歸一化條件: Ψ*Ψ (r )4π r 2 dr = 1可使用積分式 ( x 2 + 2 x + 2) + C
#470099
(一)單位時間有多少顆光子?
#470101
(二)若光子完全被極板吸收,則極板受力為何?
#470102
(三)若此金屬的功函數為 1 eV,則產生的光電子最大動能為何?用 eV 表示。
#470103
(一)寫出電子波函數的通解。
#470104
相關試卷
111年 - 111 高等考試_三級_核子工程:原子物理#109660
111年 · #109660
110年 - 110 公務升官等考試_薦任_原子能:原子物理#103466
110年 · #103466
108年 - 108 高等考試_三級_核子工程:原子物理#77870
108年 · #77870
107年 - 107 高等考試_三級_核子工程:原子物理#71187
107年 · #71187
106年 - 106 高等考試_三級_核子工程:原子物理#63443
106年 · #63443
104年 - 104 高等考試_三級_核子工程:原子物理#39580
104年 · #39580
103年 - 103 高等考試_三級_核子工程:原子物理#39824
103年 · #39824
102年 - 102 高等考試_三級_核子工程:原子物理#39946
102年 · #39946
102年 - 102 公務升官等考試_薦任_原子能:原子物理#39936
102年 · #39936
101年 - 101 高等考試_三級_核子工程:原子物理#39996
101年 · #39996