阿摩線上測驗 登入

申論題資訊

試卷:113年 - 113 地方政府公務、離島地區公務特種考試_三等_資訊處理:資料結構#124511
科目:公職◆資料結構
年份:113年
排序:0

題組內容

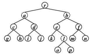
四、關於紅黑樹(Red Black Tree)與(2,4)-樹((2,4)-Tree):

申論題內容

(二)考慮下面的紅黑樹(實線節點代表黑色節點,虛線節點代表紅色節 點),代表節點的字元符號可視為鍵值,請說明如何將此紅黑樹轉換為 一個(2,4)-樹,並將其結果畫出。此外,請申論轉換的(2,4)-樹是否唯一。 (10 分)