阿摩線上測驗
登入
首頁
>
公職◆經濟學概論與財政學概論
>
104年 - 104 交通事業鐵路特種考試_高員三級_財經廉政:經濟學概論與財政學概論#22498
> 申論題
題組內容
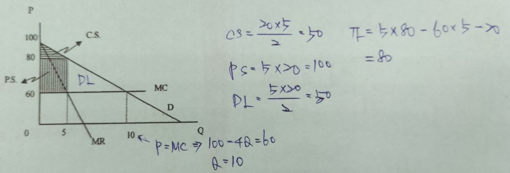
二、某家中央廚房提供學校營養午餐的邊際成本為 MC = 60,而其面對的營養午餐市場 需求為 P = 100 - 4Q。假設該廚房是一家獨大,試回答下列問題:
(二)試問學生享受營養午餐的消費者剩餘為何?(3 分)該中央廚房享有的生產者剩 餘為何?(3 分)
詳解 (共 1 筆)
詳解
提供者:目標台中中油職員
相關申論題
(一)試說明何謂自然失業率?(4 分)該國自然失業率為何?(4 分)
#23872
(二)該國勞基法規定最低實質工資為 w = 1.02,試問該國將出現的循環性失業率為何? (7 分)
#23873
(一)該中央廚房承包營養午餐的價格與提供數量為何?(4 分)
#23874
(一)兩種可能的邊際減量成本曲線所對應之最適減排量分別為何?
#23876
(二)預期邊際減量成本曲線的方程式又為何?
#23877
(三)因為政府對真正的汞邊際減量成本究竟是 MC1 或 MC2 並不確定,所以若採設定 排放量上限來管制汞排放,根據預期邊際減量成本曲線,設定的最適減排量為何?
#23878
(四)若採課徵排放費方式來管制汞排放,政府根據預期邊際減量成本曲線,設定的最 適排放費為何?
#23879
(五)在真正的邊際減量成本曲線不確定的情況下,何種管制方法帶來的無謂損失會較 小?
#23880
(三)請以公共財特性解釋薩穆爾遜條件(Samuelson Condition)與以私人提供的奈許-庫諾(Nash-Cournot)公共財提供數量的差異原因。
#560337
(二)假設公共財由兩個家計單位以私人捐款(g1,g2)提供,公共財數量 G=(g1+g2)/1,請詳細計算最適奈許-庫諾(Nash-Cournot)公共財提供數量。
#560336
相關試卷
114年 - 114 地方政府公務特種考試_三等_財經廉政:經濟學與財政學概論#134686
114年 · #134686
114年 - 114 地方政府公務特種考試_四等_財經廉政:經濟學與財政學概要#134609
114年 · #134609
114年 - 114 高等考試_三級_財經廉政:經濟學與財政學概論#128638
114年 · #128638
114年 - 114 普通考試_財經廉政:經濟學與財政學概要#128506
114年 · #128506
113年 - 113 地方政府公務特種考試_三等_財經廉政:經濟學與財政學概論#124549
113年 · #124549
113年 - 113 地方政府公務特種考試_三等_財經廉政:經濟學與財政學概論#124548
113年 · #124548
113年 - 113 地方政府公務特種考試_四等_財經廉政:經濟學與財政學概要#124390
113年 · #124390
113年 - 113 普通考試_財經廉政:經濟學與財政學概要#121463
113年 · #121463
113年 - 113 高等考試_三級_財經廉政:經濟學與財政學概論#121421
113年 · #121421
112年 - 112 地方政府特種考試_三等_財經廉政:經濟學概論與財政學概論#118264
112年 · #118264