題組內容
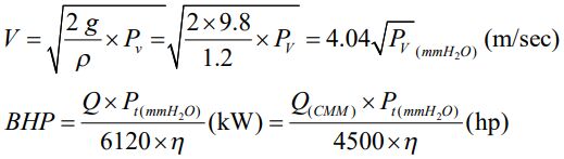
二、有個加工工作站設一局部排氣系統,具有開口正方形氣罩邊長各為1 m, 依序連接①圓形導管,②空氣清淨裝置,③圓形排氣導管,④離心式排氣扇,及煙囱;氣罩口風速= 5 m/sec,氣罩進口總損失為 1 PV + 0.5 PV,風管摩擦係數 Hf = 0.1/m;風管長 18 m,風管平均風速 5 m/sec,R/D = 2、 90 度肘管有 2 個 , 損失係數為 K = 0.27 ; 空氣清淨器壓損為Pcleaner = 20 mmH2O;煙囱長 2 m,煙囱平均風速 5 m/sec;而排氣扇之機械效率為 0.8,動力單位轉換係數為 4500,試計算:
提示:

