題組內容
六、群樁(4*4 支混凝土基樁)問題之橫剖面示意圖如圖 2 所示,且基樁之樁徑皆為 0.3 m、中心距 1 m、長度 10 m;正常壓密黏土層 1 之厚度4 m、
為 30 kN/m2、α1 為 0.82,正常壓密黏土層 2 之厚度 8 m、
為80 kN/m2、α2為 0.54;已知此群樁之樁尖承載力因子
= 8.8。請以總應力法估算:
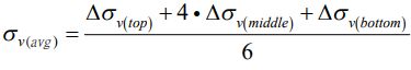
[用 2:1 法估算地層中之垂直應力增量]
[以 Simpson 公式計算平均應力:
]
(二)該群樁在容許承載載重作用之下,於黏土層 2 將發生之壓密沉陷量。(15 分)