題組內容
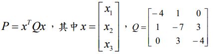
二、考慮一個二次型(quadratic form):
(二)請判斷此二次型為(半)正定(positive(semi)definite) 、(半)負定(negative(semi)definite)或皆不是?若限制
=1,請求此二次型之極大與極小值。(10 分)
二、考慮一個二次型(quadratic form):
(二)請判斷此二次型為(半)正定(positive(semi)definite) 、(半)負定(negative(semi)definite)或皆不是?若限制
=1,請求此二次型之極大與極小值。(10 分)