題組內容
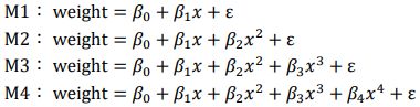
二、某研究團隊隨機觀察兩歲內男童的月齡(Month)與體重(weight) 的數據共 125 筆,0~24 月齡各 5 筆。月齡 vs 體重的散布圖如下。 研究團隊考慮以月齡的 4 次多項式迴歸模式來預測體重。預測變數為 中心化月齡( = Month_c = Month − mean(Month)),考慮一~四 次多項式模式,如下:

各模式的變異數分析表如下:
(二)請根據上述結果寫出多項式預測模式,並預測月齡為 10 月的男童 體重,假設月齡為 10 月的男童體重估計變異數為
,請 求出該男童體重的 95%預測區間。(15 分)