題組內容
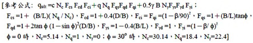
四、如圖所示為某 20 m 厚之正常壓密黏土層,欲在此黏土層上建造一 25 m×25 m 之筏式基礎,筏式基礎將承受 1000 MN 之載重,黏土之無旁束壓縮強度 qu 為 80 kPa,液性限度為 31,塑性限度為 8,(每小題 5 分,共 20 分)

四、如圖所示為某 20 m 厚之正常壓密黏土層,欲在此黏土層上建造一 25 m×25 m 之筏式基礎,筏式基礎將承受 1000 MN 之載重,黏土之無旁束壓縮強度 qu 為 80 kPa,液性限度為 31,塑性限度為 8,(每小題 5 分,共 20 分)
