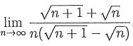
(1) Evaluate
.
詳解 (共 1 筆)
助人為本
詳解 #7377133
看到這種題目的第一步通常是有理化
所以我們讓分子和分母同乘共軛項

化簡完後分母瞬間只剩n
接著把分子展開化簡

接著同除以n找極限,而1/無窮大極限值=0
所以最後算出來的極限值為4