阿摩線上測驗
登入
首頁
>
教甄◆電子科/資訊科/電機科/冷凍空調科/控制科/電機空調科
>
113年 - 113 高雄市市立高級中等學校聯合教師甄選試題:資料處理科#121942
> 申論題
題組內容
二、填充題
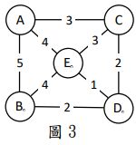
1. 如圖 3 所示,有 A~E 共 5 個節點,節點與節點間數字為路徑長度,A 點為出發點,需繞經所有節點試以 Greedy Method 演算法:
(2)若改以 Dijkstra Algorithm 走訪,其路徑及長度為何(3%)
相關申論題
2.執行上列程式碼,sum 值為何?(3%) ____________
#518977
3. 使用網路 Google 搜尋引擎查詢「勤學高中段考試題」,且為 pdf 文件時,應於搜尋列鍵入何指令?(3%)________________
#518978
(1)、常見的 MVC 框架為何( )、( )、( )
#518979
(2)、使用動態圖形進行資料視覺化的套件為何( )
#518980
(3)、網頁中實現動畫和特效的 JavaScript 函式庫為何( )
#518981
(4)、常見的前端網頁框架為何( )、( )、( )
#518982
(5)、常見的響應式網頁框架為何( )、( )
#518983
5. 若有一個二元素走訪,以中序表示式 A / (B–C) + D * (E–A) * C / F 請將其轉置為後序表示式:(3%) _________________
#518984
三、申論問答題1. 依據行政院核定「高級中等學校智慧網路環境暨學術網路提升計畫」,學校全面提升校園網路品質,以順利推動「數位學習精進計畫」及資訊融入教 學;現有校舍計有四維樓、五福樓及七賢樓,共 3 棟大樓,其中五福、七賢 樓各有電腦教室 3 間,另每棟大樓各有 2 台移動式充電車(內含 36 台行動載 具),學校連外實體 IP 為 163.32.100.0/24,請試以(Intelligent Resilient Framework,IRF)智慧型彈性架構,繪製網路拓樸圖。(15%)
#518985
2. 資料庫查詢有多種方式,包括 SQL 查詢、預存程序(Stored Procedure)、 物件關聯對映(Object-Relational Mapping)和視圖(View)。請分別說明 這些方法的使用時機及其優缺點 (12%)
#518986
相關試卷
115年 - 115 教育部受託辦理公立高級中等學校教師甄選試題:電子科#139845
115年 · #139845
115年 - 115 教育部受託辦理公立高級中等學校教師甄選試題:資訊科/電子科#139620
115年 · #139620
115年 - [無官方正解]115-2 臺北市立大安高級工業職業學校_教師甄選試題_電子、控制科:基本電學#139535
115年 · #139535
115年 - 115-2 臺北市立大安高級工業職業學校_教師甄選筆試試題:電子、控制科-基本電學#139346
115年 · #139346
115年 - 115 臺北市立內湖高級工業職業學校_正式教師甄選試題:電子科、資訊科(基本電學、電子學 )#139230
115年 · #139230
115年 - 115 新北市公立高級中等學校_教師聯合甄選試題:電子科/資訊科#139205
115年 · #139205
115年 - 115 新北市公立高級中等學校_教師聯合甄選試題:資料處理科#139204
115年 · #139204
115年 - [無官方正解]115 臺北市立松山高級工農職業學校_正式教師甄選試題:電子科、資訊科#139072
115年 · #139072
114年 - 114 高雄市市立高級中等學校聯合教師甄選試題:資料處理科#127345
114年 · #127345
114年 - 114 高雄市市立高級中等學校聯合教師甄選試題:電子科#127344
114年 · #127344