阿摩線上測驗
登入
首頁
>
教甄◆數學
>
114年 - 114 臺北市立成淵高級中學_正式教師甄選:高中數學科#127406
> 申論題
題組內容
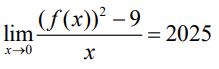
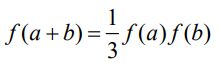
2. 已知 f(x) 是定義域和對應域皆為實數的連續函數,且對於任意實數a b, 皆滿足
, 若
,請回答下列各小題。
(2) 試證明 f (x) 在任意實數c上皆可微分。(5 分)
相關申論題
1. 設 〈an〉 為一個實數數列,考慮數列〈an〉的前n 項之總和 Sn ,即Sn=a1+a2+...+an ,其中n ∈N。若Sn=n2+4n-2,則的值為_________。
#542676
2. 設 f (x)=(6sin x- 8cos x )✖(12sin x+ 5cos x ),其中0≤x<2π,若 f(x) 的最大值為M ,最小值為m,則數對(M ,m ) 為__________。
#542677
3. 如下圖,平面上有26個正六邊形緊密連接,若,其中α,β∈R,則數對(α,β )為__________ 。
#542678
4. 如下圖,空間中有一個正八面體,若為_______________。
#542679
5. 已知 x>0,x ≠ 1 ,且,則 y 的最小值為 ___________。
#542680
6. 設複數z= ,其中,若,其中a,b∈R ,, 則數對( a,b ) 為________________。
#542681
7. y=sinx+1的圖形與 y= log10x 的圖形共有____________個交點。
#542682
8. 若Γ: 為 xy平面上的區域,將繞直線 y=x 旋轉一圈所得的旋轉體體積為 ___________ 。
#542683
9. 有三個大小相同的袋子 A、B、C,每個袋子都恰有四顆球,袋子 A 中四顆球的編號分別為1,2,3,4,袋子 B 中四顆球的編號分別為1,3,5,7,袋子 C 中四顆球的編號分別為2,4,6,8。甲同學先任選一個袋子,然後 從該袋中取出一顆球,觀察此球的編號後,將此球放回袋中;接下來換乙同學任選一個袋子,然後從袋中取出一球,觀察此球的編號後,將此球放回袋中。已知每個袋子被選取到的機會均相等,而同一袋子 中每顆球被選取到的機會也均相等。若甲同學取到球的編號為a,乙同學取到球的編號為b,則「在a>b的條件下,b =5」的機率為_____________。
#542684
10. 有種神奇粒子,每個粒子每經過 1 小時,都會出現下列三種情況之一:有的機率,這個粒子會變成 2 個;有的機率,這個粒子會維持 1 個;有的機率,這個粒子會消失;且每個粒子每小時發生的情況均獨立。現在有 1 個這樣的神奇粒子,則「經過 3 小時後,神奇粒子的數量恰為 5 個」的機率為___________
#542685
相關試卷
115年 - 115-1 國立嘉科實驗高級中學_教師甄選試題_高中部:數學科#138615
115年 · #138615
115年 - 115-1 臺北市立大同高級中學_教師甄選初選試題:高中數學科#138591
115年 · #138591
115年 - 115-1 臺北市立大安高工教師甄選試題:數學科#138455
115年 · #138455
115年 - 115-1 國立臺灣師範大學附屬高級中學_專任教師甄選試題:數學科#138411
115年 · #138411
115年 - 115-1 國立臺灣師範大學附屬高級中學_專任教師甄選試題:數學科#138410
115年 · #138410
115年 - 115-1 國立臺灣師範大學附屬高級中學_專任教師甄選試題:數學科#138409
115年 · #138409
115年 - 115-1 臺北市立麗山高級中學_正式教師甄選試題:數學科#138397
115年 · #138397
115年 - 115-1 國立臺南一中_教師甄選初試試題:數學#138376
115年 · #138376
115年 - 115 國立嘉科實驗高級中學_國小部普通班教師甄選試題:數學#138356
115年 · #138356
115年 - 115-1 國立中央大學附屬中壢高級中學教師甄選試題:數學科#138235
115年 · #138235