題組內容
Section B:
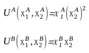
1. Consider a pure exchange economy with two goods,1 and 2, and two consumers, A and B. Utility functions are as follows.
and the economy’s endowments are w1=2 ,w 2=1.
(2) Consider the allocation
. Can this allocation be supported as an equilibrium allocation? If so, at what prices?