阿摩線上測驗 登入

申論題資訊

試卷:98年 - 98 經濟部所屬事業機構_新進職員甄試試題_化工製程:1.單元操作2.輸送現象#136999
科目:國營事業◆1.單元操作 2.輸送現象
年份:98年
排序:0

題組內容

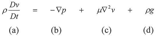
十、 The Navier-Stokes equation of motion 在黏度與密度不變時,可簡化如下式:

申論題內容

(3)上列方程式中,何者是造成邊界層(boundary layer)現象的主要原因?(3分)