阿摩線上測驗
登入
首頁
>
高考◆大氣動力學
>
103年 - 103年高等三級暨普通考高考三級_氣象#39898
> 申論題
申論題
試卷:103年 - 103年高等三級暨普通考高考三級_氣象#39898
科目:高考◆大氣動力學
年份:103年
排序:0
申論題資訊
試卷:
103年 - 103年高等三級暨普通考高考三級_氣象#39898
科目:
高考◆大氣動力學
年份:
103年
排序:
0
題組內容
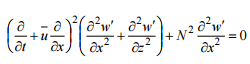
二、二維純內重力波控制方程可簡化成:(每小題 5 分,共 15 分)
其中 N 為 Brunt-Vaisala 頻率, u 為平均緯向風, w' 為擾動垂直速度。
申論題內容
(3)承上題,利用純內重力波相速和群速傳播方向互為垂直。