阿摩線上測驗
登入
首頁
>
教甄◆數學
>
115年 - 115-1 臺北市立大安高工教師甄選試題:數學科#138455
> 申論題
題組內容
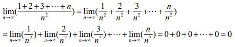
3. 學生在學習極限時,常發生以下作答算式:
請問:
(3)於是在作極限的教學時,應該要注意什麼?(4分)
相關申論題
1. 若[x]表示小於或等於實數x的最大整數值,則=?
#566929
2. 坐標平面上,x坐標與y坐標均為整數的點稱為格子點。令n為正整數,為平面上以直線y=,以及x軸、y軸所圍成的三角形區域(包含邊界),而an為Tn上的格子點數目,則an=?(以n表示)
#566930
3. 在人工智慧的分類技術中,用到以曲線來分類不同物件的概念。設平面上有七個點A(-1,1)、B(-3,1)、C(2,3)、D(-1,2)、E(1,0)、F(1,-3)、G(3,5)分屬●、▲兩類。已知其中●類包含點A,C,E,G,而▲類包含點B,D,F。若欲使用曲線Γ:y²=x³+tx²+1將這七個點「正確分類」(即某一類的所有點皆滿足y²<x³+tx²+1,另一類的所有點皆滿足y²>x³+tx²+1),則實數t的範圍為何?
#566931
4. 設銳角三角形ABC的外接圓半徑為8,已知外接圓圓心到的距離為2,而到的距離為7,則內切圓半徑為?
#566932
5. 已知x,y,z為實數,,x+y+z為整數,求x+y+z的值?
#566933
6. 坐標空間中,考慮一個正四面體,其所有頂點的z坐標皆滿足0≤z≤6。已知此正四面體至少有一個頂點在平面z=0上,且至少有一個頂點在平面z=6上,求此正四面體邊長的最大可能值?
#566934
7. 大安高工舉辦音樂會,包含鋼琴表演2個、小提琴表演2個、歌唱表演2個,共6個不同的曲目。為了避免節目過於單調規定同類型的表演不能排在一起(2個鋼琴不能相鄰、2個小提琴不能相鄰、2個歌唱也不能相鄰),試問這場音樂會可能的曲目排列方式共有幾種?
#566935
8. 已知f(x)、g(x)、h(x)皆為實係數三次多項式,且除以x²-x+2的餘式分別為2x+1、x-1、x+2。若x·f(x)+a·[g(x)]²+b·h(x)可以被x²-x+2整除,其中a,b為實數,則數對(a,b)=?
#566936
9. 設z為複數,在複數平面上,一個正八邊形依逆時針方向的連續三個頂點為z、0、z-1--i(其中i=),則z的實部為?
#566937
10. 坐標平面上,在以O(0,0), A(0,2), B(2,2), C(2,0)為頂點的正方形(含邊界)內,令R為滿足下述條件的點P(x,y)所成區域,與點P(x,y)的距離為|x-y|之所有點所成圖形完全落在正方形OABC(含邊界)內。則區域R的面積為?
#566938
相關試卷
115年 - 115-1 臺北市立南湖高級中學_正式教師甄選試題:數學科#139253
115年 · #139253
115年 - 115 國立屏東大學_各師資類科教育學程甄選試題:數學#139246
115年 · #139246
115年 - 115 臺北市立陽明高級中學正式教師甄選試題:高中數學科#139228
115年 · #139228
115年 - 115 新北市公立高級中等學校_教師聯合甄選試題:數學科#139227
115年 · #139227
115年 - 115 臺北市立內湖高級工業職業學校_正式教師甄試:數學科#139221
115年 · #139221
115年 - 115 桃園市立陽明高中_教師甄選試題:數學科#139018
115年 · #139018
115年 - 115 國立高科實驗高級中等學校_專任教師甄選_國小部:普通科(數學)#138942
115年 · #138942
115年 - 115-1 國立彰化女子高級中學_教師甄選試題:數學科#138761
115年 · #138761
115年 - 115-1 臺中市立文華高級中等學校_教師甄選專業知能試題:數學科#138727
115年 · #138727
115年 - 115-2 台北市立建國高級中學_正式教師甄選試題:數學科#138704
115年 · #138704