題組內容
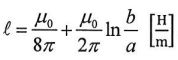
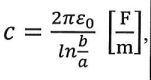
4.For a coaxial transmission line shown in Fig. 2, the capacitance per unit length is
and the inductance per unit length is
. At high frequencies, the intemal inductance drops off (that is, approaching 0, and you should know which term is the internal inductance).
(4%) (d) Using the result from a), along with the per unit length external inductance found in c), write down the internal & external inductance for the conductor system shown in the Right of Fig. 3.

Fig. 3. A single conductor above a Ground (Left); A two-conductor system with currents flow in opposite direction (Right); the two conductors both with radius a and d distance apart.