阿摩線上測驗
登入
首頁
>
研究所、轉學考(插大)-微積分
>
90年 - 90 中原大學轉學生招生考試_理、工學院二年級 先修生轉正式生):微積分#124671
> 申論題
題組內容
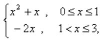
3. (每小題5%,共20%)
令 f(x) =
F(x) =
f(t)dt, 0 < x < 3.
(a) 畫出函數f(x)之圖形。
相關申論題
1. (10%) 考慮以「o」表示「是」、「×」表示「否」,填入下表:
#530268
(a) 令f(x) = x5 + 2x3 + 2x, 且 f-1(x) 代表 f(x) 之反函數, 求 (f-1)'(-5)。
#530269
(b) 已知2y2 = 28 - x2 + xy, 求在 (x,y) = (-2,-4) 之值。
#530270
(c) 求積分dx。
#530271
(d) 求積分∫x cos x dx.
#530272
(b) 求 F(x)之臨界點 (critical point), 及說明在每一臨界點上函數 F(x)是否有局部極大值、局部極小值、反曲點 (local maximum、local minimum、inflection point)。
#530274
(c) 求出F(x) 在x=2時的切線。
#530275
(d) 求出以y = f(x)在x∈ [0,1] 之圖形與 x 軸及直線x=1夾區域, 繞著y- 軸旋轉所得之旋轉體體積。
#530276
4. (10%) 求極限.
#530277
5. (10%) 試將ln(2 + x) 展成x的冪級數。此展式對哪些x成立?
#530278
相關試卷
114年 - 114 臺灣綜合大學系統_學士班轉學生考試試題:微積分A#137897
114年 · #137897
114年 - 114 臺灣綜合大學系統_學士班轉學生考試試題:微積分B#137819
114年 · #137819
114年 - 114 台灣聯合大學系統_學士班轉學生考試試題:微積分#137762
114年 · #137762
114年 - 114 台灣聯合大學系統_學士班轉學生考試試題:微積分#137761
114年 · #137761
114年 - 114 國立臺灣大學_轉學生招生考試_物理學系/土木工程學系/生物環境系統工程學系/生物機電工程學系:微積分(B)#137745
114年 · #137745
114年 - 114 國立臺灣大學_轉學生招生考試_數學系:微積分(A)#137744
114年 · #137744
113年 - 113 國立嘉義大學_轉學生招生考試試題_(全校):微積分#122986
113年 · #122986
112年 - 112 國立臺灣大學_碩士班招生考試題:微積分(D)#130254
112年 · #130254
112年 - 112 國立陽明交通大學_碩士班入學招生試題_統計學研究所﹕微積分與線性代數#130252
112年 · #130252
112年 - 112 國立嘉義大學_轉學生招生考試試題:微積分#123297
112年 · #123297