阿摩線上測驗
登入
首頁
>
教甄◆數學
>
111年 - 111 臺北市立西松高級中學教師甄選:數學科#108209
> 申論題
申論題
試卷:111年 - 111 臺北市立西松高級中學教師甄選:數學科#108209
科目:教甄◆數學
年份:111年
排序:0
申論題資訊
試卷:
111年 - 111 臺北市立西松高級中學教師甄選:數學科#108209
科目:
教甄◆數學
年份:
111年
排序:
0
題組內容
Question 3. [Maximum mark: 9]
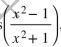
A function f (x) is defined by f(x)=arccos
x ∈
and a function g (x) is defined by
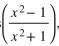
g(x)=arccos
x ∈
,x≥0.
申論題內容
(c) Find the expression for
, and state the domain of
.