題組內容
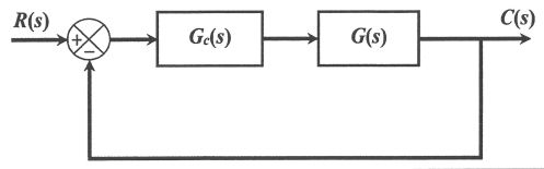
3. Consider a feedback control system given below, where the transfer function of the plant G(s) = 2(s - 1)/(s + 2)2(s2 + 2s +2), and the transfer function of the controller Gc(s), If Gc(s)=K,
3. Consider a feedback control system given below, where the transfer function of the plant G(s) = 2(s - 1)/(s + 2)2(s2 + 2s +2), and the transfer function of the controller Gc(s), If Gc(s)=K,