阿摩線上測驗
登入
首頁
>
迴歸分析
>
100年 - 100 地方政府特種考試_三等_統計:迴歸分析#31622
> 申論題
申論題
試卷:100年 - 100 地方政府特種考試_三等_統計:迴歸分析#31622
科目:迴歸分析
年份:100年
排序:0
申論題資訊
試卷:
100年 - 100 地方政府特種考試_三等_統計:迴歸分析#31622
科目:
迴歸分析
年份:
100年
排序:
0
題組內容
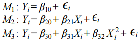
四、考慮以下數據(Yi, Xi), 1 ≤ i ≤ n,且Yi= Xi+ ,其中Xi= i/50 且 為i.i.d. N(0, 1)之隨 機變數。當試著以下列 3 個多項式迴歸模式來配適:
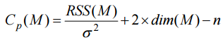
且以這 3 個不同的線性迴歸模式中達到Mallow’s Cp 統計量最小者,做為最佳配適模 式。當用迴歸模式M來配適時,其Cp統計量如下:
於上式中,RSS(M)代表配適迴歸模式 M 的殘差平方和,dim(M)代表迴歸模式 M 的 未知參數個數。
申論題內容
⑴以C
p
為準則,請使用RSS(M1),RSS(M2),RSS(M3)此 3 個統計量,寫出迴歸模式 M
2
被選取的條件。(6 分)