阿摩線上測驗
登入
首頁
>
迴歸分析
> 100年 - 100 地方政府特種考試_三等_統計:迴歸分析#31622
100年 - 100 地方政府特種考試_三等_統計:迴歸分析#31622
科目:
迴歸分析 |
年份:
100年 |
選擇題數:
0 |
申論題數:
13
試卷資訊
所屬科目:
迴歸分析
選擇題 (0)
申論題 (13)
【已刪除】⑴(0.99,
)及(x
1
, y
1
)必定位於樣本迴歸線上。(10 分)
⑵(0, y
1
)必定位於樣本迴歸線上且殘差中至少有一取值為 0。(10 分)
【已刪除】⑴試問分析結果的(a)至(e)及
和 之值為何?(9 分)
⑵試寫出樣本迴歸方程式、R
2
統計值及調整R
2
統計值。(9 分)
⑶在 α = 0.05 之下,請利用 F 檢定及 t 檢定判斷此樣本迴歸模式之顯著性? (F
0.05,1,219
= 3.8843,F
0.05,1,220
= 3.8840,F
0.025,1,219
= 5.0937,F
0.025,1,220
=5.0934)請 寫出各檢定之虛無假設及對立假設並詳述理由。若您認為此樣本迴歸模式不合適, 請寫出您的建議模式。(7 分)
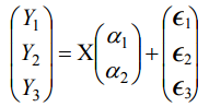
【已刪除】⑴當使用矩陣表達時,我們可得出下式:
試寫出矩陣 X 及變數間是否有共線性。(8 分)
⑵試求 Cov( αˆ
1
, αˆ
2
)及 Var( αˆ
1
)。(7 分)
⑶當使用F檢定,檢定H
0
: α
1
= α
2
時,你需要的F分配表的自由度為何?(5 分)
⑷當y
1
= 1.8722,y
2
= −0.4853,y
3
= 4.5169 時, αˆ
1
= 0.9031, αˆ
2
= 1.0004,殘差平方 和RSS = 14.2495。在α = 0.05 時,請利用F檢定,檢定H
0
: α
1
= α
2
vs H
1
: α
1
≠ α
2
。 (F
0.05,1,1
=161.45,F
0.05,1,2
= 18.51,F
0.05,2,1
= 199.5)(10 分)
⑴以C
p
為準則,請使用RSS(M1),RSS(M2),RSS(M3)此 3 個統計量,寫出迴歸模式 M
2
被選取的條件。(6 分)
⑵請描述相關於隨機變數RSS(M
2
)及隨機變數RSS(M3)的分配分別為何?(6 分)
⑶請問迴歸模式M
3
被選取的機率為何?可用標準常態分配函數來表示。(10 分)
⑷當RSS(M
1
) = 138.53,RSS(M
2
) = 102.93,RSS(M
3
) = 102.89 時,那個模型會被選取? 試說明理由。(3 分)
相關試卷
112年 - 112 地方政府特種考試_三等_統計:迴歸分析#118385
112年 · #118385
112年 - 112 高等考試_三級_統計:迴歸分析#115743
112年 · #115743
111年 - 111 地方政府特種考試_三等_統計:迴歸分析#112613
111年 · #112613
111年 - 111 高等考試_三級_統計:迴歸分析#109790
111年 · #109790
110年 - 110 地方政府特種考試_三等_統計:迴歸分析#104899
110年 · #104899
110年 - 110 高等考試_三級_統計:迴歸分析#102644
110年 · #102644
109年 - 109 地方政府特種考試_三等_統計:迴歸分析#94683
109年 · #94683
109年 - 109 高等考試_三級_統計:迴歸分析#88984
109年 · #88984
108年 - 108 地方政府特種考試_三等_統計:迴歸分析#81611
108年 · #81611
108年 - 108 高等考試_三級_統計:迴歸分析#77833
108年 · #77833