阿摩線上測驗
登入
首頁
>
化學反應工程學
>
101年 - 101 高等考試_三級_化學工程:化學反應工程學#26524
> 申論題
題組內容
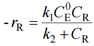
三、在一批式反應器(batch reactor)內進行的液相催化反應 R → P的反應速率-r
R
可表為 :
,其中k
1
與k
2
為常數,
為觸媒濃度,
為反應物R的濃度。
⑴提 出可能的反應機制(reaction mechanism)以解釋該反應速率。(10 分)
相關申論題
⑴ X=0.5,(5 分)
#43358
⑵ X=0.8。(5 分)
#43359
⑶是否可能在某一轉化率時兩種反應 器的體積相同?(10 分)須詳述理由,否則不予計分。
#43360
二、某工程師被指定以體積分別為V1與V2之兩個串聯的連續攪拌反應器(continuous stirred tank reactor,CSTR),以自然衰減的方式處理一輻射性液體。應如何選擇V1與 V2,使得反應器之總體積 (V1+V2)為最小?(20 分)須證明陳述,否則不予計分
#43361
四、為了解反應物在一連續攪拌反應器(continuous stirred tank reactor,CSTR)內,與 一栓流反應器(plug flow reactor,PFR)內之滯留情況間的差異,吾人將N0個微小、 有色的標記顆粒瞬間分別注入兩種反應器的入口,並藉顏色之深淺判斷標記顆粒之 濃度。假設流入反應器之流體的體積流率為v(升/秒),反應器的體積為V(升), 標記顆粒之注入不影響v。分別求在CSTR(15 分)與PFR(5 分)出口處的標記顆 粒濃度隨時間的變化。
#43364
五、某一液相反應中,反應物R可能生成P1、P2 與P3 三種產物。假設各反應皆為一階反 應,且活化能EP1、EP2與EP3間有下列關係:EP1>EP2,且EP1
#43365
(四)在無 CO₂時,其推測反應機制(proposed mechanism)如下: 在穩態假設(steady-state approximation)下,請推導其反應速率式。
#557538
(三)若 k,每升高 10℃即變為四倍,請寫出可用來求得(活化能 activation energy)的方程式及 ,且此式中僅 為未知數。
#557537
(二)假設完整反應速率式為 d[O₃]/dt = ,求指數 b 的數值, 並計算 k。
#557536
(一)請判斷 Run 1 的表觀級數(apparent order),並計算 。
#557535
相關試卷
114年 - 114 專技高考_化學工程技師:化學反應工程(亦稱化工動力學)#133683
114年 · #133683
114年 - 114 公務升官等考試_薦任_化學工程:化學反應工程學#133272
114年 · #133272
113年 - 113 專技高考_化學工程技師:化學反應工程(亦稱化工動力學)#123888
113年 · #123888
112年 - 112 地方政府特種考試_三等_化學工程:化學反應工程學#118337
112年 · #118337
112年 - 112 專技高考_化學工程技師:化學反應工程(亦稱化工動力學)#117641
112年 · #117641
112年 - 112 公務升官等考試_薦任_化學工程:化學反應工程學#117353
112年 · #117353
112年 - 112 高等考試_三級_化學工程:化學反應工程學#115757
112年 · #115757
111年 - 111 專技高考_化學工程技師:化學反應工程(亦稱化工動力學)#111956
111年 · #111956
111年 - 111 高等考試_二級_化學工程:高等化學反應工程學#111040
111年 · #111040
111年 - 111 高等考試_三級_化學工程:化學反應工程學#109726
111年 · #109726