阿摩線上測驗
登入
首頁
>
迴歸分析
>
102年 - 102 地方政府特種考試_三等_統計:迴歸分析#25961
> 申論題
題組內容
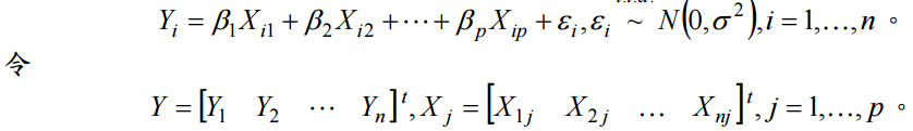
四、考慮以下多重線性迴歸模式
。 假設
不全為 0 且
⑴試以Y 及 X
j
來表示β1 , , β p K 之最小平方估計量以及殘差平方和(residual sum of squares)。(12 分)
相關申論題
⑴請找出參數α 之最大概式估計量(maximum likelihood estimator)。
#39748
⑵請算出缺適(lack of fit or goodness of fit)檢定統計量之值。並明確寫出檢定統計 量之虛無分布。(10 分)
#39751
⑵算出 R2 。(5 分)
#39753
⑸算出β1之 95%之信賴區間。(5 分)
#39756
(二)另一種軟體轉虛擬變數的方式如下:然後以 Y 對 X1* 及 X2* 配適迴歸模式:Y = β1 X1* + β2X2* + ε 。請就以下檢定結果比較三種藥物之藥效。(15 分)
#505538
(一)某軟體將 X 轉成以下虛擬變數(dummy variable) X1 及 X2 :然後以 Y 對 X1 及 X2 配適迴歸模式: Y+β0+β1 X1 +β2X2+ ε 。請就以 下檢定結果比較三種藥物之藥效(如:何者顯著較佳,何者間無顯著 差別)。 (15 分)
#505537
(三)若 x1 ,..., x10 是 10 個人第 1 年之測量值, x11 ,... , x20 為其第 2 年測量值, x21 ,... , x30 為其第 3 年測量值,x31 ,... , x40 為其第 4 年測量值。以 y 對 x 做 簡單線性迴歸的話,會違反(一)中那些假設?(5 分)
#505536
(二)若 ( x1 ,......, x20 ) 為男生體重, ( x21 ,...... , x40 ) 為女生體重, y 為其運動後 心跳頻率。已知男生體重的變異量一般較女生大。今以 y 對 x 做簡單線 性迴歸,可能會違反(一)中那些假設?(5 分)
#505535
(一)其檢定之有效性是建立在對 ε i 的那些假設下?(10 分)
#505534
(二)檢定「兩班是否有相同之 Y 對 X 線性關係(相同的斜率及截距) 」,即 H0:β11 β=12 and β01=β02 vs. H1:H0 為非。(15 分)
#505533
相關試卷
112年 - 112 地方政府特種考試_三等_統計:迴歸分析#118385
112年 · #118385
112年 - 112 高等考試_三級_統計:迴歸分析#115743
112年 · #115743
111年 - 111 地方政府特種考試_三等_統計:迴歸分析#112613
111年 · #112613
111年 - 111 高等考試_三級_統計:迴歸分析#109790
111年 · #109790
110年 - 110 地方政府特種考試_三等_統計:迴歸分析#104899
110年 · #104899
110年 - 110 高等考試_三級_統計:迴歸分析#102644
110年 · #102644
109年 - 109 地方政府特種考試_三等_統計:迴歸分析#94683
109年 · #94683
109年 - 109 高等考試_三級_統計:迴歸分析#88984
109年 · #88984
108年 - 108 地方政府特種考試_三等_統計:迴歸分析#81611
108年 · #81611
108年 - 108 高等考試_三級_統計:迴歸分析#77833
108年 · #77833